OMTEX CLASSES
☰
Maharashtra
XII (12) HSC
XI (11) FYJC
X (10) SSC
9th (Maharashtra)
5th (Maharashtra)
6th (Maharashtra)
7th (Maharashtra)
8th (Maharashtra)
Tamil Nadu
12th Std.
11th Std.
10th Std
9th Std.
8th Std.
7th Std.
6th Std.
3rd Std.
2nd Std.
1st Std.
TNPSC
Cinema
Exam Resources
Grammar Topics
Essays
Dialogues
Expansion of Ideas
Speech Writing
Letters
Grammar Topics
Writing Skills
Info-Transfer
Leaflet Writing
Report Writing
Appeal Writing
Interview Writing
View & Counterview
Data Input Sheet
Books
Books by Amin
PDF & More
Download PDF
EVS Projects
Other Boards
Latest News
Privacy Policy
Disclaimer
Contact Us
OMTEX AD 2
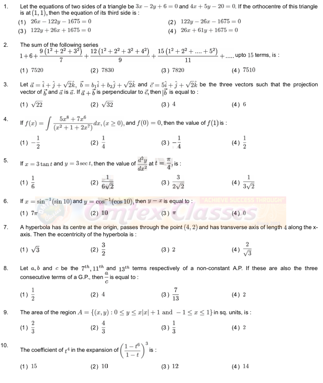
JEE MAIN 2019 ANSWER KEY AND SOLUTIONS. 9TH JANUARY, 2019 SLOT 2
JEE MAIN 2019 ANSWER KEY AND SOLUTIONS. 9TH JANUARY, 2019 SLOT 2.
Newer Post
Older Post
Home